MDAG.com Internet Case Study 31
Field Study of Unavailable Neutralization Potential in Acidic Rock
by K.A. Morin and N.M. Hutt
© 2008 Kevin A. Morin and Nora M. Hutt
www.mdag.com/case_studies/cs31.html
Abstract
Unavailable Neutralization Potential (UNP) is defined as the portion of the measured Sobek
(EPA 600) NP that is not reactive or available under on-site field conditions. It can arise from
several factors, primarily:
- analytical-method artifacts,
- sample-specific conditions, like thiosalt oxidation and siderite,
- upscaling emergent effects, like the encapsulation of reactive NP rendering it unavailable at the
existing grain size.
This case study illustrates one example of upscaling-effect UNP.
In northern British Columbia, Canada, the Kutcho Project is a massive-sulphide copper-zinc-gold-silver deposit currently in an advanced development stage. In the 1980's, one suggested mitigation strategy for controlling acid rock drainage (ARD) was the “blending”, or more accurately the layering, of net-acid-generating and net-acid-neutralizing rock, with the intent to slow or prevent the release of ARD. To examine the success of this layering at the Kutcho Project, medium-scale on-site wooden “cribs” were built in 1989. Each crib contains 20 metric tonnes (t) of alternating net-acid-generating and net-acid-neutralizing rock layers placed by hand. Net-neutralizing rock was dominant on the basis of tonnage.
Drainages from the three 20-tonne ML-ARD cribs at the Kutcho Project were acidic shortly after construction. They have become more acidic since 1990, reaching pH 2.2-2.6 in 2006-2007. Nevertheless, partial neutralization of some total acidity was still occurring, even at pH 2.2-2.6.
Based on small trenches dug in 2007, each crib contained visibly distinct grey and orange-brown rock layers, representing the initial hand-placed layers of net-acid-generating and net-neutralizing rock. As part of acid-base accounting (ABA), paste pH showed the encrusted orange-brown layers were typically near neutral (~pH 6.0 and higher), whereas the cleaner appearing grey layers were more often acidic but near neutral in some layers. Thus, the grey layers were apparently the primary source of the acidic-drainage pH (2.2-2.6) and acidity draining from the cribs. The orange-brown layers were apparently providing the observed partial neutralization.
Analyses for Sobek Neutralization Potential (NP) and inorganic carbonate in 2007 confirmed the orange-brown layers still typically contained substantial NP, whereas the acidic grey layers were virtually devoid of NP. This was consistent with earlier calculations showing only 3% of the original NP had been consumed when the cribs became acidic in the early 1990's. Thus, the upscaling-effect UNP was an impressive 97% of measured NP. This was equivalent to 97-130 kg/t depending on the rock unit. Nevertheless, by 2007, 58-76% of the original NP had been consumed by partial neutralization.
If rates remain the same, the remaining NP could be depleted in another 7-14 years, whereas sulphide oxidation will continue for 20-60 years. The nearer-term NP depletion could lead to a rise in aqueous concentrations of acidity and various elements, and perhaps to a decrease in pH. Also, the ongoing NP depletion has converted some orange-brown layers from net neutralizing to net acid generating.
1. Introduction
Unavailable NP (UNP) is defined as the portion of the measured analytical NP that is not
reactive or available under on-site field conditions (Morin and Hutt, 1997a, 2001, 2008, and in prep).
This has been defined for NP based on the Sobek et al. (1978) procedure, also known as the U.S.
EPA 600 procedure, but may apply to other NP procedures. UNP can arise from several factors,
primarily:
- analytical-method artifacts,
- sample-specific conditions, like thiosalt oxidation and siderite,
- upscaling emergent effects, like the encapsulation of reactive NP rendering it unavailable at the
existing grain size.
A simple equation representing this is:
Total Unavailable NP (UNP) =
analytical-method UNP + sample-specific UNP + upscaling-effect UNP (Eq. 1)
This case study illustrates one example of upscaling-effect UNP.
In northern British Columbia, Canada, the “Kutcho”, or “Kutcho Creek”, Project is a long-known exploration site since the 1960's , currently owned by Sherwood Copper Corp. This massive-sulphide copper-zinc-gold-silver deposit is currently in an advanced development stage.
In the 1980's, the potential for acid rock drainage (ARD) from this massive-sulphide deposit was recognized, and predictive work such as acid-base accounting was conducted to confirm this. One possible mitigation strategy was the “blending”, or more accurately the layering, of net-acid-generating and net-acid-neutralizing rock, with the intent to slow or prevent the release of ARD.
To examine the success of this layering at the Kutcho Project, funding was provided by government and exploration companies to build wooden “cribs” (Rescan, 1992; Morin and Hutt, 1997b), each containing 20 metric tonnes (t) of rock layers placed by hand (see the photographs at the end). The layered rock was originally mined from the Sumac underground exploration adit in the Main Deposit, and stacked in distinct “perimeter” piles near the cribs. Most of the stacked rock was not placed in the cribs, and many piles were still visible in 2007.
The chemistry of effluent water draining from the cribs was first monitored in 1990, with some pH measurements starting in 1989. Basal drains in the cribs channeled infiltration through the rock into external buckets for analysis. The cribs were labeled, “Preproduction”, “Five Year Uncovered”, and “Five Year Covered” (Table 1 and photographs at the end), based on a mine plan that is no longer relevant. By tonnage, all three cribs contained more net-neutralizing rock than net-acid-generating rock. Subsamples of these three cribs were also tested in the small-scale humidity cells, which showed that blending did not greatly affect the reaction rates compared to the non-blended cells.
The contents of the cribs reflected the originally anticipated ratio of net-acid-neutralizing to net-acid-generating rock during preproduction development and after five years of mining. Although that mine plan is out of date, the three cribs still provide long-term medium-scale data on mine-rock-drainage chemistry and ARD at the Kutcho Project. Most important for this case study was the observation of ARD shortly after the cribs were built, despite the abundant net-neutralizing rock, with ARD continuing at least through 2007.
TABLE 1. Summary Descriptions of the On-Site Cribs at the Kutcho Project |
|||||
Crib Name |
Total Rock (t) |
Ratio of Net-Acid-Neutralizing:Net-Acid-Generating Rock |
Cover |
||
Ratio by Tonnage (t)1 |
Unweighted TNPR1 |
Weighted TNPR2 |
|||
Preproduction |
20 |
6:1 |
0.8 |
1.23 |
No |
Five-Year-Uncovered |
20 |
2.5:1 |
1.97 |
1.31 |
No |
Five-Year-Covered |
20 |
2.5:1 |
1.97 |
1.31 |
6 inches local till |
|
1 Rock with a TNPR less than 2.0 is considered net acid generating, and thus is expected to release ARD at some point; “unweighted” TNPR from Rescan (1992) was based on combining the TNPRs of individual layers in each crib. |
|||||
2 Rock with a TNPR less than 2.0 is considered net acid generating, and thus is expected to release ARD at some point; “weighted” TNPR from Morin and Hutt (1997b) was based on first calculating total sulphur and NP in an entire crib, then calculating TNPR. |
|||||
2. Drainage Chemistry from the Three Cribs
Laboratory analyses for drainage from the three cribs are available for 1990, 1991, 2006, and 2007, with pH available also in 1989. For pH (Figure 1), values were erratic in the early years, ranging from 2.7 to 7.2, despite the predominance of net-neutralizing rock by tonnage. By 2006, pH values were relatively stable between 2.2 and 2.6. This lower pH was accompanied by higher acidity levels (Figures 2 and 3).
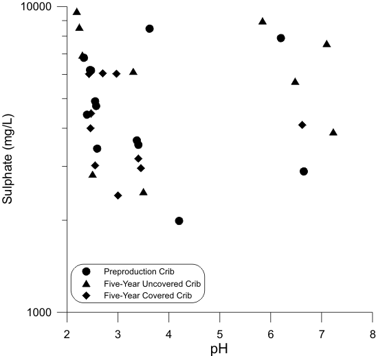
The temporal trend in sulphate, which can reflect the rate of sulphide oxidation and total acid generation, has been variable (Figures 4 and 5). However, the general range seen in 1990-1991 is still seen in 2006-2007, and thus the notably lower pH in 2006-2007 has not produced a notably higher sulphate.
Acidity concentrations (Figure 2) were less than the corresponding sulphate concentrations (Figure 4), usually meaning some residual neutralization was occurring even when pH was acidic. This was more apparent in 1990-1991, when the difference between acidity and sulphate suggested about 90% of total generated acidity was being neutralized and thus only 10% of total acidity remained.
Even in 2006-2007 with lower pH, acidity was still less than sulphate. In this case, 39% to 83% of total acidity typically remained un-neutralized (Figure 6), so 17% to 61% of total acidity was still neutralized recently in these acidic cribs.
Of the dissolved elements that were frequently measured, several correlated to some extent with pH, including aluminum, chromium, copper, iron, molybdenum (inverse correlation), nickel, potassium (inverse correlation), and silver. A few correlated to some extent with aqueous sulphate, including dissolved cadmium, cobalt, and manganese. The remaining, frequently analyzed dissolved elements appeared independent of pH and sulphate.
As a general assessment of minerals that may be close to their theoretical solubility limits, the acidic waters from the Preproduction Crib and from the most acidic Five-Year-Uncovered Crib were entered into Visual MINTEQ Version 2.52. Visual MINTEQ indicated the minerals and incorporated elements that were close to theoretical thermodynamic solubility were: AlOHSO4, barite (BaSO4), celestite (SrSO4), cupric ferrite (CuFe2O4), gypsum (CaSO4∙2H2O), hydronium jarosite (H2Fe3(SO4)2(OH)7), a ferric-oxyhydroxide phase similar in solubility to maghemite (Fe2O3), magnetite (Fe3O4), MnHPO4, amorphous silica (SiO2), and strengite (FePO4∙2H2O).



Figure 3. Effluent pH vs. Acidity from the Three ML-ARD Cribs.


Figure 5. Effluent pH vs. Sulphate from the Three ML-ARD Cribs.

Figure 6. Aqueous Ratio of Acidity to Sulphate (Un-neutralized Total Acidity) vs. Sulphate in the Three ML-ARD Cribs.
3. Rock-Layer Analyses
In 2007, small trenches were dug by hand shovel and rock hammer into the three cribs (see photographs at the end). A rock hammer was needed to break through several compacted and/or chemically cemented layers. However, these layers were obviously not unreactive nor impermeable, based on the ARD draining through them.
The major objectives of this solid-phase investigation were:
1) to define the geochemistry of the rock that has released ARD for more than 15 years (Section 2 above) based on visual observations and laboratory analyses, and
2) to compare the current geochemistry to the original (Table 1).Care was exercised to disturb as little of the crib rock as possible, while allowing physical observations and sample collection close to the base. Nevertheless, this still resulted in significant disturbance, and likely increased entry of air and water, possibly explaining the subsequent spike in acidity draining from at least one crib late in 2007.
Because the cribs contained rock originally placed as distinct rock layers, visually distinct coloured layers could be seen in the trenches (see the photographs at the end). These layers were often 10-20 cm thick, but greater and lesser thicknesses were also seen. Even each layer contained some visible physical, and likely geochemical, heterogeneity, but colour was used as the main identifier of each layer. Because relatively strong ARD with partial neutralization drains from these cribs (Section 2), each colour may signal a different geochemical contribution.
The uppermost rock layer was consistently grey, even in the Five-Year-Covered Crib immediately beneath the till cover and filter fabric. The subsequent layer was orange-brown, with underlying, alternating colours to the bottom.
The paste pH values showed the encrusted orange-brown layers were typically near neutral (~pH 6.0 and higher), whereas the cleaner appearing grey layers were more often acidic but near neutral in some layers (Figure 7). This suggested some grey layers were the primary source of the acidic pH and acidity draining from the cribs, whereas the orange-brown layers and some grey layers were providing the observed partial neutralization.
The paste-pH values also showed that the Five-Year-Uncovered Crib contained the most layers of acidic rock (Figure 7), with the greatest overall thickness of acidic rock. This correlated with the lowest pH (Figure 1) and highest acidity (Figure 2) from that crib. However, the trenching may have increased subsequent acid generation in all three cribs (last datapoint to the right in Figures 1 and 2 is September 2007).
Based on the adjacent “perimeter piles” (see photographs at the end), Pile 01 could be visually considered the original source of the grey layers (quartz sericite lapilli tuff). Also, Pile 07 could be the original source of the orange-brown layers, a combination of crystal lapilli tuff, quartz feldspar crystal tuff, and chert mafic ash tuff. However, although visually similar, those piles could not be confirmed as the original sources of the rock layers in the cribs. This means that the detailed geochemistry of the rock originally placed in the cribs remains unknown, although some original acid-base-accounting parameters are known from previous reports (Table 1).
Although Perimeter Piles 01 and 07 could not be confirmed as the original sources of the crib rock layers, the geochemistry of their coarser and finer grains were compared to the layers. For paste pH (Figure 8), Pile 01 had acidic pH values in both the finer and coarser materials and these are plotted in each grey layer of Figure 8. In contrast, Pile 07 had acidic finer grains and near-neutral coarser grains, which are plotted in each orange-brown layer of Figure 8.
The finer-grained pile data was consistently acidic, which did not match the vertical trends in the cribs (Figure 8). However, the coarser-grained pile data were generally consistent with the vertical trends in the cribs, so that the geochemistry of the crib layers was apparently dominated by the coarser and/or unreacted grains. The exception was the Preproduction Crib, whose deeper grey layer was not acidic.
Figure 7. Paste pH vs. Depth in the Rock Layers of the Three ML-ARD Cribs.
Figure 8. Paste pH vs. Depth in the Rock Layers of the Three ML-ARD Cribs, with Data from the Perimeter Piles Superimposed in Blue.The near-neutral paste pH values of Figure 8, primarily in the orange-brown layers, suggested the presence of Sobek (EPA 600) Neutralization Potential (NP) despite the overall acidic drainage from the cribs (Section 2). The presence of substantial NP, above 40 kg/t, was confirmed by acid-base accounting (Figure 9), particularly in the near-neutral orange-brown layers. This included inorganic carbonate (Figure 10), which is not stable at the observed drainage pH of 2.2-2.6. The values in the near-neutral crib layers were notably higher than from the adjacent perimeter piles (blue datapoints in Figures 9 and 10), which may reflect greater NP removal in the piles or simply different original NP values. In any case, effluent from the cribs became acidic before much of the original NP had been consumed.
The current NP may be mostly unreactive, due to secondary-mineral encrustation, or slowly dissolving to account for the observed partial neutralization (Section 2). However, at the drainage pH of 2.2-2.6, even the observed orange-brown iron oxyhydroxide minerals could provide that partial neutralization without the involvement of the carbonate.
Based on a compilation of crib data from the early 1990's, Morin and Hutt (1997b) estimated that only approximately 3% of the original NP had been consumed when the cribs became acidic. This notable lack of full neutralization by the NP was thus “a source of uncertainty for predictions of blended waste rock at Kutcho Creek”.
Morin and Hutt (1997b) showed that the net-acid-generating rock (obviously the grey layers in the cribs), with an original Total-Sulphur-Based Net Potential Ratio (TNPR) of 0.21, contained 100 kg/t of original NP. In contrast, the net-neutralizing rock (obviously the orange-brown layers in the cribs), with an original TNPR of 3.73-3.86, contained 124-135 kg/t of original NP. Based on Figure 9, the currently-acidic net-acid-generating (grey) rock contains basically no NP; the currently-neutral net-acid-generating (grey) rock still contains much of its original NP (~60-80 kg/t); and the net-neutralizing (orange-brown) rock still contains a substantial amount of its original NP (~40-80 kg/t).
Thus, the upscaling-effect UNP (Equation 1) was an impressive 97% of measured NP. Depending on the rock unit, this is equivalent to 97-130 kg/t of NP.
Morin and Hutt (1997b) estimated the Preproduction Crib originally contained roughly 2.4 tonnes of NP, and the Five-Year Cribs originally contained 2.5 t of NP each. Based on the NP values of Figure 9, and the thicknesses of each analyzed layer weighted to a total of 20 t, the cribs now contain 1.0 t (Preproduction), 0.59 t (Five-Year-Uncovered), and 0.79 t (Five-Year-Covered) of remaining NP. Thus, 58% (Preproduction) to 68-76% has now been consumed, compared with the consumption of only 3% when the cribs first became acidic. This difference apparently accounts for the ongoing partial neutralization (Section 2). The Five-Year-Uncovered Crib with the lowest remaining NP has the lowest recent drainage pH.
Based on the roughly 20 years of testing, about 58-76% of the original NP has been consumed. Thus, after another 7-10 years (Five-Year Cribs) to 14 years (Preproduction Crib), the remaining NP should be exhausted. Acidity concentrations should then rise to equal sulphate (Figures 2, 4, and 6), and pH may decrease, as long as sulphide oxidation and acid generation continue.
Figure 9. Sobek Neutralization Potential vs. Depth in the Rock Layers of the Three ML-ARD Cribs, with Data from the Perimeter Piles Superimposed in Blue.
Figure 10. Inorganic-Carbon-Based CaNP vs. Depth in the Rock Layers of the Three ML-ARD Cribs, with Data from the Perimeter Piles Superimposed in Blue.Oxidizing sulphide is the primary source of ongoing acidity from the cribs. The acidic grey layers typically contained 8-12%S in 2007 (Figure 11). In contrast, the near-neutral orange-brown and grey layers typically contained less than 2%S, and often less than 1%S (e.g., 0.15-0.68%S in the orange-brown layers within the Five-Year Cribs). Because the acidic layers contained so much remaining sulphide, acidic conditions can persist for many more decades.
Data in Morin and Hutt (1997b) indicated the net-acid-generating (grey layers) originally contained an average of nearly 16%S, and the net-neutralizing layers contained approximately 1.1%S. Based on this, about one-quarter to one-half of the sulphide has been consumed in the grey layers over the roughly 20 years of testing, and more variable percentages in the orange-brown layers. After another 20-60 years, most of the sulphide in the grey layers may be consumed. By this time, remaining NP would be depleted (see above), and drainage with greater acidity would result due to less partial neutralization and possibly to some net acid generation from the now-NP-depleted orange-brown layers.
Anomalously, the perimeter piles (blue datapoints in Figures 9 and 11) suggest more NP has been consumed in the orange-brown layers than in the piles (Figure 9), yet the piles still contain more sulphide (Figure 11). This is considered another discrepancy from assuming the piles had the same initial geochemistry as the cribs, which appears unlikely.
Morin and Hutt (1997b) showed that weighted TNPR values were 1.23 for the Preproduction Crib and 1.31 for the Five-Year Cribs (Table 1), based on ~0.2 for the net-acid-generating (grey) layers and ~3.8 for the orange-brown layers. These original weighted values for the three cribs were similar, and within the range that is sometimes “uncertain” and not net acid generating at some minesites if all measured NP were reactive (Morin and Hutt, 1997a and 2001).
These values were notably different from the original unweighted TNPR of 0.87 (Preproduction) and 1.97 (Five-Year Cribs) from Rescan (1992). The unweighted TNPR of 1.97 is close to the criterion of 2.0, above which rock is often considered net neutralizing if all measured NP were reactive. However, for all three cribs, effluents have been acidic. This highlights the importance of determining Unavailable NP (Section 1) for more accurate ARD predictions. In any case, weighted and individual TNPR values can have little meaning for ARD predictions, since other factors like physical location and flowpath lengths can supercede TNPR importance (e.g., Morin and Hutt, 2000).
The TNPR of the orange-brown layers has now been lowered from ~3.8 to often less than 1.0 in 2007 (Figure 12). Thus, the grey layers have caused the orange-brown layers to change from net neutralizing to net acid generating, by consuming their NP.
Figure 11. Sulphide vs. Depth in the Rock Layers of the Three ML-ARD Cribs, with Data from the Perimeter Piles Superimposed in Blue.
Figure 12. Total-Sulphide-Based Net Potential Ratio (TNPR) vs. Depth in the Rock Layers of the Three ML-ARD Cribs, with Data from the Perimeter Piles Superimposed
in Blue.4. Conclusion
As shown in Section 2, drainage from the three 20-tonne ML-ARD cribs at the Kutcho Project has become more acidic since 1990. It was pH 2.2-2.6 in 2006-2007. Nevertheless, partial neutralization of some total acidity was still occurring, even at pH 2.2-2.6.
Each crib contained visibly distinct grey and orange-brown rock layers, representing the initial hand-placed layers of net-acid-generating and net-neutralizing rock. Acid base accounting showed that the encrusted orange-brown layers were typically near neutral (~pH 6.0 and higher) with substantial NP and inorganic carbonate. The cleaner appearing grey layers were more often acidic with no NP, but were near neutral in some layers.
When drainages from the cribs turned acidic in the early 1990's, only 3% of the original NP had been consumed. Thus, the upscaling-effect UNP (Equation 1) was an impressive 97% of measured NP, or 97-130 kg/t depending on the rock unit.
By 2007, 58-76% of the original NP had been consumed by partial neutralization. If rates remain the same, the remaining NP could be depleted in another 7-14 years, whereas sulphide in the grey layers could continue to oxidize for another 20-60 years. This would lead to a rise in aqueous concentrations of acidity and various elements, and perhaps to a decrease in pH. The consumption of NP in some formerly net-neutralizing orange-brown layers has now changed them to net acid generating.
5. References
Morin, K.A., and N.M. Hutt. In preparation. Minesite Drainage Chemistry.
Morin, K.A., and N.M. Hutt. 2008. Case Studies of Unavailable NP in ABA Datasets. MDAG Internet Case Study #30, www.mdag.com/case_studies/cs30.html
Morin, K.A., and N.M. Hutt. 2007. Western Keltic Mines Inc. Kutcho Project - ML-ARD Study of the On-Site Cribs, November 2007. Report for Rescan Environmental Services.
Morin, K.A., and N.M. Hutt. 2001. Environmental Geochemistry of Minesite Drainage: Practical Theory and Case Studies, Digital Edition. MDAG Publishing (www.mdag.com/book.html), Surrey, British Columbia. ISBN: 0-9682039-1-4.
Morin, K.A., and N.M. Hutt. 2000. Discrete-zone mixing of net-acid-neutralizing and net-acid-generating rock: Avoiding the argument over appropriate ratios. IN: Proceedings from the Fifth International Conference on Acid Rock Drainage, May 20-26, Denver, USA, Volume II, p. 797-803. Society for Mining, Metallurgy, and Exploration, Inc., Littleton, CO, USA.
Morin, K.A., and N.M. Hutt. 1997a. Environmental Geochemistry of Minesite Drainage: Practical Theory and Case Studies. MDAG Publishing (www.mdag.com/book.html), Surrey, British Columbia. ISBN: 0-9682039-0-6.
Morin, K.A., and N.M. Hutt. 1997b. Review and Reinterpretation of Acidic-Drainage Information for Kutcho Creek. Report for Homestake Canada Inc., dated March 27.
Rescan Environmental Services Ltd. 1992. Acid Generation Testwork Blending and Segregation Final Report. Prepared for Sumac Mines Ltd. and the British Columbia Ministry of Energy, Mines and Petroleum Resources, dated March 1992.
Sobek, A.A., W.A. Schuller, J.R. Freeman, and R.M. Smith. 1978. Field and Laboratory Methods Applicable to Overburdens and Minesoils. Report EPA-600/2-78-054, U.S. National Technical Information Report PB-280 495. 403 p.
Aerial View of the ML-ARD Cribs, Adjacent Perimeter Piles, and the Buried Sumac Adit.
Five-Year-Uncovered Crib – Overview of Trench.
Five-Year-Uncovered Crib – Closer View of Trench (Note the distinct light-grey and orange-brown layers).
Five-Year-Uncovered Crib – Vertical Profile in the Trench to a Depth of 1.10 m.
Five-Year-Covered Crib – Initial Trench Excavation, Showing Filter Cloth Between the Uppermost Till and Underlying Light-Grey Mine Rock.
Five-Year-Covered Crib - View of Initial Trench (Note the distinct light-grey and orange-brown layers).
© 2008 Kevin A. Morin and Nora M. Hutt
For more case studies, see Environmental Geochemistry of Minesite Drainage: Practical Theory and Case Studies.
Created by K.Morin